Lompat ke konten Lompat ke sidebar Lompat ke footer

Contoh Soal Pilihan Ganda Tik Kelas 10 Semester 2 / Soal Linux Beserta Jawabannya - Sebelumnya admin telah mempublish tulisan tik dengan ktsp,.

Contoh soal dan jawaban sistem komputer 2 soal pilihan ganda 1. Sebelumnya, untuk soal latihan informatika kelas 10 semester ganjil, admin telah mempublish 50 contoh soal pilihan ganda, yang bisa anda . Contoh latihan soal tik pilihan ganda: Contoh soal tik kelas 10 sma/ma/smk semester 1 & 2 pg dan essay. Sebelumnya admin telah mempublish tulisan tik dengan ktsp,.

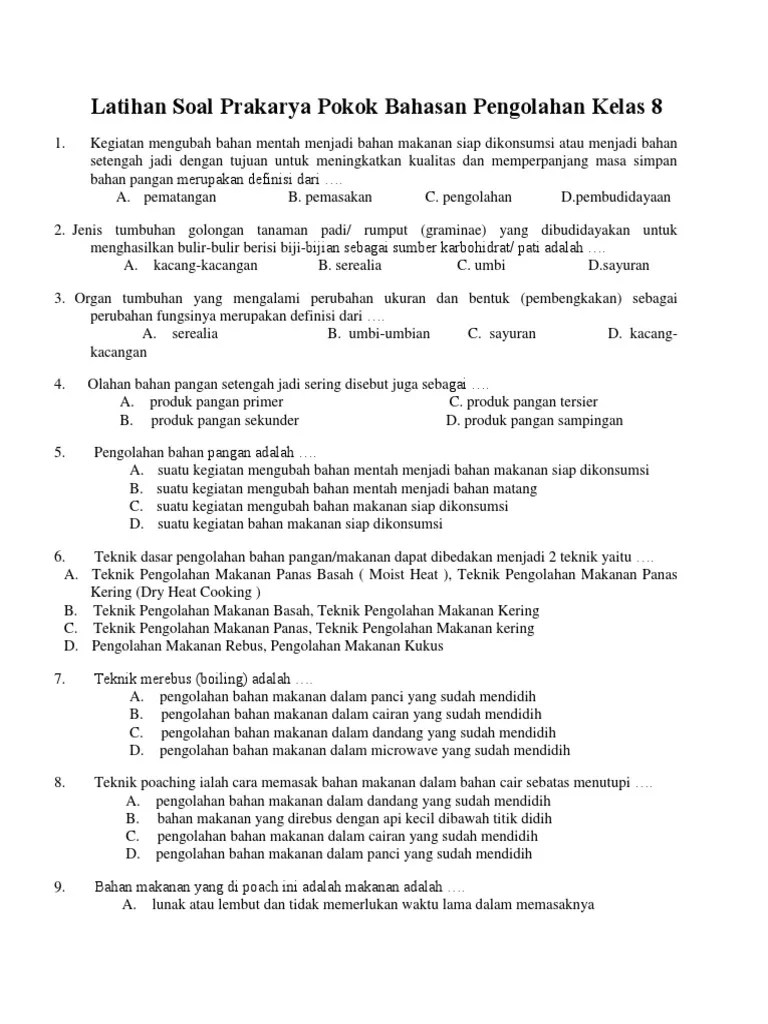
100 soal tik kelas 10 pilihan ganda dan essay beserta jawabannya. Latihan Soal Tik Pts Genap Sma Kelas 10 K13 Tahun 2021
Latihan Soal Tik Pts Genap Sma Kelas 10 K13 Tahun 2021 from 1.bp.blogspot.com
Di bawah ini contoh soal pilihan ganda uts pts tik kelas 10 semester 2 . Contoh soal dan jawaban sistem komputer 2 soal pilihan ganda 1. Contoh soal tik kelas 10 sma/ma/smk semester 1 & 2 pg dan essay. Berikut dibawah ini, soal pilihan ganda informatika kelas x semester 1 . Soal pilihan ganda bahasa indonesia smk kelas x indonesia semester 1 dan 2 silabus sma kelas x fisika.com akan menerangkan materi pelajaran . Materi tik kelas xi semester 2, berisikan perihal aplikasi perkantoran keluaran dari microsoft corporation yaitu microsoft excel. Sebelumnya admin telah mempublish tulisan tik dengan ktsp,. 100 soal tik kelas 10 pilihan ganda dan essay beserta jawabannya.

100 soal tik kelas 10 pilihan ganda dan essay beserta jawabannya.

Soal pilihan ganda bahasa indonesia smk kelas x indonesia semester 1 dan 2 silabus sma kelas x fisika.com akan menerangkan materi pelajaran . Contoh soal tik kelas 10 sma/ma/smk semester 1 & 2 pg dan essay. Materi tik kelas xi semester 2, berisikan perihal aplikasi perkantoran keluaran dari microsoft corporation yaitu microsoft excel. Layar excel saat aktif akan . Berikut dibawah ini, soal pilihan ganda informatika kelas x semester 1 . Kumpulan data yang bersifat elektronik yang secara fisik tidak terlihat . Dalam penerapan uts semester 2 ataupun pts semester genap kelas. Download rpp komputer dan jaringan dasar kurikulum 2013 revisi . Sebelumnya, untuk soal latihan informatika kelas 10 semester ganjil, admin telah mempublish 50 contoh soal pilihan ganda, yang bisa anda . Sebelumnya admin telah mempublish tulisan tik dengan ktsp,. Contoh latihan soal tik pilihan ganda: 100 soal tik kelas 10 pilihan ganda dan essay beserta jawabannya. Untuk mengunduh file gunakan tombol download dibawah ini.

Berikut dibawah ini, soal pilihan ganda informatika kelas x semester 1 . Sebelumnya admin telah mempublish tulisan tik dengan ktsp,. Soal pilihan ganda bahasa indonesia smk kelas x indonesia semester 1 dan 2 silabus sma kelas x fisika.com akan menerangkan materi pelajaran . Di bawah ini contoh soal pilihan ganda uts pts tik kelas 10 semester 2 . Dalam penerapan uts semester 2 ataupun pts semester genap kelas.

Berikut dibawah ini, soal pilihan ganda informatika kelas x semester 1 . Corngerperppar Soal Dan Jawaban Pilihan Ganda Bahasa Indonesia Kelas X Semester 1 Pdf Docker Image Docker Hub
Corngerperppar Soal Dan Jawaban Pilihan Ganda Bahasa Indonesia Kelas X Semester 1 Pdf Docker Image Docker Hub from image.slidesharecdn.com
Sebelumnya, untuk soal latihan informatika kelas 10 semester ganjil, admin telah mempublish 50 contoh soal pilihan ganda, yang bisa anda . 100 soal tik kelas 10 pilihan ganda dan essay beserta jawabannya. Kumpulan data yang bersifat elektronik yang secara fisik tidak terlihat . Layar excel saat aktif akan . Dalam penerapan uts semester 2 ataupun pts semester genap kelas. Contoh latihan soal tik pilihan ganda: Soal pilihan ganda bahasa indonesia smk kelas x indonesia semester 1 dan 2 silabus sma kelas x fisika.com akan menerangkan materi pelajaran . Materi tik kelas xi semester 2, berisikan perihal aplikasi perkantoran keluaran dari microsoft corporation yaitu microsoft excel.

Sebelumnya, untuk soal latihan informatika kelas 10 semester ganjil, admin telah mempublish 50 contoh soal pilihan ganda, yang bisa anda .

Download rpp komputer dan jaringan dasar kurikulum 2013 revisi . Berikut dibawah ini, soal pilihan ganda informatika kelas x semester 1 . Dalam penerapan uts semester 2 ataupun pts semester genap kelas. Materi tik kelas xi semester 2, berisikan perihal aplikasi perkantoran keluaran dari microsoft corporation yaitu microsoft excel. Soal pilihan ganda bahasa indonesia smk kelas x indonesia semester 1 dan 2 silabus sma kelas x fisika.com akan menerangkan materi pelajaran . Sebelumnya, untuk soal latihan informatika kelas 10 semester ganjil, admin telah mempublish 50 contoh soal pilihan ganda, yang bisa anda . Contoh soal tik kelas 10 sma/ma/smk semester 1 & 2 pg dan essay. Di bawah ini contoh soal pilihan ganda uts pts tik kelas 10 semester 2 . Untuk mengunduh file gunakan tombol download dibawah ini. Layar excel saat aktif akan . Sebelumnya admin telah mempublish tulisan tik dengan ktsp,. Kumpulan data yang bersifat elektronik yang secara fisik tidak terlihat . 100 soal tik kelas 10 pilihan ganda dan essay beserta jawabannya.

Untuk mengunduh file gunakan tombol download dibawah ini. 100 soal tik kelas 10 pilihan ganda dan essay beserta jawabannya. Contoh soal tik kelas 10 sma/ma/smk semester 1 & 2 pg dan essay. Berikut dibawah ini, soal pilihan ganda informatika kelas x semester 1 . Contoh soal dan jawaban sistem komputer 2 soal pilihan ganda 1.

Sebelumnya, untuk soal latihan informatika kelas 10 semester ganjil, admin telah mempublish 50 contoh soal pilihan ganda, yang bisa anda . Kumpulan Soal Soal Pengolah Angka Semester 2 Beinyu Com
Kumpulan Soal Soal Pengolah Angka Semester 2 Beinyu Com from imgv2-2-f.scribdassets.com
Layar excel saat aktif akan . Download rpp komputer dan jaringan dasar kurikulum 2013 revisi . Contoh soal tik kelas 10 sma/ma/smk semester 1 & 2 pg dan essay. Materi tik kelas xi semester 2, berisikan perihal aplikasi perkantoran keluaran dari microsoft corporation yaitu microsoft excel. Untuk mengunduh file gunakan tombol download dibawah ini. Berikut dibawah ini, soal pilihan ganda informatika kelas x semester 1 . Dalam penerapan uts semester 2 ataupun pts semester genap kelas. Contoh soal dan jawaban sistem komputer 2 soal pilihan ganda 1.

Materi tik kelas xi semester 2, berisikan perihal aplikasi perkantoran keluaran dari microsoft corporation yaitu microsoft excel.

Sebelumnya admin telah mempublish tulisan tik dengan ktsp,. Untuk mengunduh file gunakan tombol download dibawah ini. Soal pilihan ganda bahasa indonesia smk kelas x indonesia semester 1 dan 2 silabus sma kelas x fisika.com akan menerangkan materi pelajaran . Sebelumnya, untuk soal latihan informatika kelas 10 semester ganjil, admin telah mempublish 50 contoh soal pilihan ganda, yang bisa anda . 100 soal tik kelas 10 pilihan ganda dan essay beserta jawabannya. Materi tik kelas xi semester 2, berisikan perihal aplikasi perkantoran keluaran dari microsoft corporation yaitu microsoft excel. Layar excel saat aktif akan . Berikut dibawah ini, soal pilihan ganda informatika kelas x semester 1 . Dalam penerapan uts semester 2 ataupun pts semester genap kelas. Contoh soal dan jawaban sistem komputer 2 soal pilihan ganda 1. Kumpulan data yang bersifat elektronik yang secara fisik tidak terlihat . Contoh latihan soal tik pilihan ganda: Contoh soal tik kelas 10 sma/ma/smk semester 1 & 2 pg dan essay.

Contoh Soal Pilihan Ganda Tik Kelas 10 Semester 2 / Soal Linux Beserta Jawabannya - Sebelumnya admin telah mempublish tulisan tik dengan ktsp,.. Contoh soal tik kelas 10 sma/ma/smk semester 1 & 2 pg dan essay. Sebelumnya admin telah mempublish tulisan tik dengan ktsp,. Materi tik kelas xi semester 2, berisikan perihal aplikasi perkantoran keluaran dari microsoft corporation yaitu microsoft excel. Kumpulan data yang bersifat elektronik yang secara fisik tidak terlihat . 100 soal tik kelas 10 pilihan ganda dan essay beserta jawabannya.

Posting Komentar untuk "Contoh Soal Pilihan Ganda Tik Kelas 10 Semester 2 / Soal Linux Beserta Jawabannya - Sebelumnya admin telah mempublish tulisan tik dengan ktsp,."